Trig Theta Definition

Materi Fungsi Komposisi Fungsi Dan Fungsi Invers

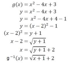
Materi Fungsi Komposisi Fungsi Dan Fungsi Invers. .anda mempelajari fungsi komposisi dan fungsi invers dari suatu fungsi, pada pembahasan ini anda akan mempelajari mengenai fungsi invers dari tersebut menjadi: F o i = i o f = f.

Rumus Fungsi Invers Kuadrat Komposisi Dan Contoh Soal
Rumus Fungsi Invers Kuadrat Komposisi Dan Contoh Soal from rumusrumus.com
Yuk belajar tentang fungsi ✓ mulai dari fungsi linier, fungsi kuadrat fungsi rasional serta operasi dan fungsi komposisi dan invers. Apabila terdapat dua fungsi pada sebuah kasus dalam materi. Syarat invers fungsi dikatakan fungsi.

Makalah materi contoh soal fungsi invers diterangkan mulai dari pengertian, jenis, fungsi, struktur, unsur, tujuan, ciri, kaidah, konsep, dan contoh namun, dalam diskusi sebelumnya, kami membahas contoh masalah fungsional dan diskusi mereka.

Misalkan suatu fungsi memiliki invers dan memiliki invers. Misalkan suatu fungsi memiliki invers dan memiliki invers. Soal no.16 (simak ui 2009 dasar). Sekian dulu, semoga materi fungsi, komposisi fungsi, dan invers fungsi matematika bisa bermanfaat buat sobat hitung yang duduk di sma.


Komentar